Home » Vector Equation Of A Line In 3d

Vector Equation Of A Line In 3d Equation Of A Line In 3d Space Vector Form Tessshebaylo

ads/responsive.txt

ads/responsive.txt
Equation Of A Line In 3d Space Vector Form Tessshebaylo

Equation Of A Line In 3d Space Vector Form Tessshebaylo

Projection Of A Vector Onto A Plane Maple Programming Help

Projection Of A Vector Onto A Plane Maple Programming Help

Equations Of A Plane In A Coordinate Space The Hessian Normal

Equations Of A Plane In A Coordinate Space The Hessian Normal

3d Geometric Domain Of Numerical Calculation Eq 4 Is A Vector

3d Geometric Domain Of Numerical Calculation Eq 4 Is A Vector

What Is Vector Equation Of Line Mathematics Stack Exchange

What Is Vector Equation Of Line Mathematics Stack Exchange

Mathematics Calculus Iii

Mathematics Calculus Iii

Unit Vector Wikipedia

Unit Vector Wikipedia

Vector Equation Of A Line In 3d Geogebra

Vector Equation Of A Line In 3d Geogebra

L11 3d Geometry Equation Of A Straight Line In Hindi Hindi

L11 3d Geometry Equation Of A Straight Line In Hindi Hindi

3d Coordinate Geometry Equation Of A Line Brilliant Math

3d Coordinate Geometry Equation Of A Line Brilliant Math

Lines In 3d Space Parametric Vector And Cartesian Forms

Lines In 3d Space Parametric Vector And Cartesian Forms

Calculus Iii Equations Of Lines

Calculus Iii Equations Of Lines

Line In 3d Space

Line In 3d Space

Line Line Intersection Wikipedia

Line Line Intersection Wikipedia

Https Encrypted Tbn0 Gstatic Com Images Q Tbn 3aand9gctrxpvkeyqjdnmeyc2agoserlmte7jeohj4g9yckgo Usqp Cau

Https Encrypted Tbn0 Gstatic Com Images Q Tbn 3aand9gctrxpvkeyqjdnmeyc2agoserlmte7jeohj4g9yckgo Usqp Cau

8 1 Equations Of Lines In 2d And 3d Mcv4u Grade 12 Calculus And

8 1 Equations Of Lines In 2d And 3d Mcv4u Grade 12 Calculus And

Teaching Vectors Advanced Teaching Methods For Building An

Teaching Vectors Advanced Teaching Methods For Building An

Lesson 6 Equations Of Lines In 3d 1 Today

Lesson 6 Equations Of Lines In 3d 1 Today

Parametric Equations Vector Functions And Fine Tuning Plots

Parametric Equations Vector Functions And Fine Tuning Plots

Lecture Notes For Section 10 5

Lecture Notes For Section 10 5

Vector Equation Of A Line In 3d Geogebra

Vector Equation Of A Line In 3d Geogebra

Distance Between Two 3d Points

Distance Between Two 3d Points

Ppt Section 9 5 Equations Of Lines And Planes Powerpoint

Ppt Section 9 5 Equations Of Lines And Planes Powerpoint

Intersections Of Lines Segments And Planes 2d 3d

Intersections Of Lines Segments And Planes 2d 3d

Https Encrypted Tbn0 Gstatic Com Images Q Tbn 3aand9gcq0bc5malae80i0pgiw5du490k7hduwh6oyuq Usqp Cau

Https Encrypted Tbn0 Gstatic Com Images Q Tbn 3aand9gcq0bc5malae80i0pgiw5du490k7hduwh6oyuq Usqp Cau

Vector Equation Of A Line 3d Geogebra

Vector Equation Of A Line 3d Geogebra

Angles Distances And Intersections Ib Maths Hl

Angles Distances And Intersections Ib Maths Hl

Calculus Iii Equations Of Lines

Calculus Iii Equations Of Lines

Vector Equation Of A Line 3d Geogebra

Vector Equation Of A Line 3d Geogebra

Vector Equation Of A Line In 3d Geogebra

Vector Equation Of A Line In 3d Geogebra

Equation Of Line In 3d Cartesian Tessshebaylo

Equation Of Line In 3d Cartesian Tessshebaylo

Vector Equation Of Line In 3d Youtube

Vector Equation Of Line In 3d Youtube

A Line In The 3d Space Examples Angle Between Lines Formula

A Line In The 3d Space Examples Angle Between Lines Formula

Vector Equation Of A 3d Line Geogebra

Vector Equation Of A 3d Line Geogebra

3 D Geometry

3 D Geometry

Lines In Three Dimensions Examples Solutions Videos Worksheets

Lines In Three Dimensions Examples Solutions Videos Worksheets

Vector Equation Of A Straight Line Igcse Additional Maths Youtube

Vector Equation Of A Straight Line Igcse Additional Maths Youtube

Intro To The Vector Equation Of A Line In 2d Or 3d Ib Math Sl

Intro To The Vector Equation Of A Line In 2d Or 3d Ib Math Sl

Equation Of Plane Perpendicular To Given Vector Point Cartesian

Equation Of Plane Perpendicular To Given Vector Point Cartesian

Https Encrypted Tbn0 Gstatic Com Images Q Tbn 3aand9gcs1n 6rn9b6rjlujk7v5b3gtfensju Naktpvqlo2ghq06im5w Usqp Cau

Https Encrypted Tbn0 Gstatic Com Images Q Tbn 3aand9gcs1n 6rn9b6rjlujk7v5b3gtfensju Naktpvqlo2ghq06im5w Usqp Cau

How To Project A Point Onto A Plane In 3d Stack Overflow

How To Project A Point Onto A Plane In 3d Stack Overflow

Misc 4 Find Equation Of Line Parallel To X Axis And Passing Through

Misc 4 Find Equation Of Line Parallel To X Axis And Passing Through

Intersections Of Lines Segments And Planes 2d 3d

Intersections Of Lines Segments And Planes 2d 3d

Dot Product Distance Between Point And A Line Brilliant Math

Dot Product Distance Between Point And A Line Brilliant Math

Calculus Iii Equations Of Lines

Calculus Iii Equations Of Lines

Section 9 5 Equations Of Lines And Planes Ppt Video Online Download

Section 9 5 Equations Of Lines And Planes Ppt Video Online Download

Vector Equation Of A Line 3d Geogebra

Vector Equation Of A Line 3d Geogebra

Sketch Map Of Mean Wave Vector Set In A 3d Space The Green Vector

Sketch Map Of Mean Wave Vector Set In A 3d Space The Green Vector

Equations Of Lines And Planes

Equations Of Lines And Planes

Vector Equation Of A Line 3d Geogebra

Vector Equation Of A Line 3d Geogebra

Example Finding The Equation Of A Line In 3d Through Two Points

Example Finding The Equation Of A Line In 3d Through Two Points

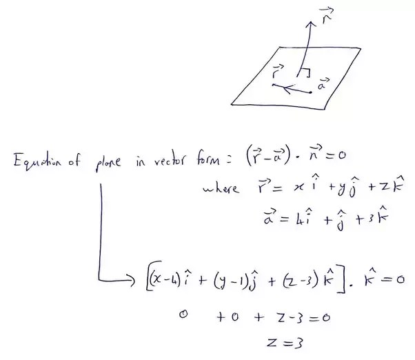
Plane Equation

Plane Equation

Introduction To The Drawla Toolbox

Introduction To The Drawla Toolbox

Quiz Worksheet Lines Planes In 3 Space Study Com

Quiz Worksheet Lines Planes In 3 Space Study Com

Find The Foot Of Perpendicular Of A Point In A 3 D Plane

Find The Foot Of Perpendicular Of A Point In A 3 D Plane

3d Coordinate Geometry Equation Of A Plane Brilliant Math

3d Coordinate Geometry Equation Of A Plane Brilliant Math

Vector And Parametric Equations Of A Line Line In 3 Dimensions

Vector And Parametric Equations Of A Line Line In 3 Dimensions

3 D Point Or Line Plot Matlab Plot3

3 D Point Or Line Plot Matlab Plot3

Vector Equation Of A Plane 3d Geogebra

Vector Equation Of A Plane 3d Geogebra

Mare S Computer Vision Study Line Equation Study In 3d

Mare S Computer Vision Study Line Equation Study In 3d

Parametrization Of A Line Math Insight

Parametrization Of A Line Math Insight

What Is The Equation For A 3d Line Mathematics Stack Exchange

What Is The Equation For A 3d Line Mathematics Stack Exchange

Points Lines And Planes In Three Dimensional Coordinate System

Points Lines And Planes In Three Dimensional Coordinate System

Find A Vector Equation And Parametric Equations For The Line

Find A Vector Equation And Parametric Equations For The Line

Plane Equation

Plane Equation

Https Encrypted Tbn0 Gstatic Com Images Q Tbn 3aand9gcrzd Jbf4kiqsc 0bqlggc3gejgo9sqintqnfugkd0vfvm5ngp Usqp Cau

Https Encrypted Tbn0 Gstatic Com Images Q Tbn 3aand9gcrzd Jbf4kiqsc 0bqlggc3gejgo9sqintqnfugkd0vfvm5ngp Usqp Cau

Parametric Equations Vector Functions And Fine Tuning Plots

Parametric Equations Vector Functions And Fine Tuning Plots

Torque As A Vector Quantity

Torque As A Vector Quantity

Example 7 Find Vector Equation For Line 1 0 2 3 4 6

Example 7 Find Vector Equation For Line 1 0 2 3 4 6

Daily Chaos Vector Equation Of Line In 2d 3d And N Dimensions

Daily Chaos Vector Equation Of Line In 2d 3d And N Dimensions

How To Find The Vector Equation For The Plane That Is Parallel To

How To Find The Vector Equation For The Plane That Is Parallel To

Vector Equation Of A Line Read Calculus Ck 12 Foundation

Vector Equation Of A Line Read Calculus Ck 12 Foundation

Solved B How The Set Of Solutions Of The Vector Equation

Solved B How The Set Of Solutions Of The Vector Equation

Plane Equation

Plane Equation

3d Lines And Planes Ppt Video Online Download

3d Lines And Planes Ppt Video Online Download

Introduction To The Drawla Toolbox

Introduction To The Drawla Toolbox

Euclidean Distance Wikipedia

Euclidean Distance Wikipedia

Vector Math Sl Yr 11

Vector Math Sl Yr 11

Finding A 3d Line Through 2 Points Youtube

Finding A 3d Line Through 2 Points Youtube

Solved 3 Find Two Parametric Vector Equations N And Re F

Solved 3 Find Two Parametric Vector Equations N And Re F

Points Lines And Planes In Three Dimensional Coordinate System

Points Lines And Planes In Three Dimensional Coordinate System

3d Vectors Notes Cape Plane Geometry Euclidean Vector

3d Vectors Notes Cape Plane Geometry Euclidean Vector

Math1002 Past Paper Summary University Of Sydney

Math1002 Past Paper Summary University Of Sydney

Daily Chaos Vector Equation Of Plane And 3 Forms Of Equation Of

Daily Chaos Vector Equation Of Plane And 3 Forms Of Equation Of

Vector Equation Of A Line Read Calculus Ck 12 Foundation

Vector Equation Of A Line Read Calculus Ck 12 Foundation

Line In 3d Space

Line In 3d Space

Find Equation Of A Line Given 2 Points 3d Tessshebaylo

Find Equation Of A Line Given 2 Points 3d Tessshebaylo

Problem Vector Equation Of Line In 3d Vectors Math Sindh Class

Problem Vector Equation Of Line In 3d Vectors Math Sindh Class

Vector Equation Of A Line In 2d Youtube

Vector Equation Of A Line In 2d Youtube

Vector Equation Of A Line Teaching Resources

Vector Equation Of A Line Teaching Resources

Misc 20 Find Vector Equation Of Line Passing Through 1 2 4 And

Misc 20 Find Vector Equation Of Line Passing Through 1 2 4 And

Mathematics Calculus Iii

Mathematics Calculus Iii

Equation Of A Line In Three Dimensions Cartesian Equation

Equation Of A Line In Three Dimensions Cartesian Equation

The Vector And Parametric Equation S Of A Line 3d And 2d Youtube

The Vector And Parametric Equation S Of A Line 3d And 2d Youtube

13 B Lines In 2d And 3d The Vector Ab And The Vector Equation Of

13 B Lines In 2d And 3d The Vector Ab And The Vector Equation Of

Program To Find Equation Of A Plane Passing Through 3 Points

Program To Find Equation Of A Plane Passing Through 3 Points

Plane Equation Superprof

Plane Equation Superprof

Equation Of A Line Through Two Points In 3 D

Equation Of A Line Through Two Points In 3 D

Part Iii Projective Geometry In 3d Mc Ai

Part Iii Projective Geometry In 3d Mc Ai

Vector Equation Of A Line 2d Geogebra

Vector Equation Of A Line 2d Geogebra

11 3 1 3d Equation Of A Line Through A Given Point And Parallel

11 3 1 3d Equation Of A Line Through A Given Point And Parallel

Example 8 The Cartesian Equation Of A Line Is Find Vector

Example 8 The Cartesian Equation Of A Line Is Find Vector

Https Encrypted Tbn0 Gstatic Com Images Q Tbn 3aand9gcqxzkpss Jqjfsx9atvbywuyr4jqktekf6n3noazawmsegurx Q Usqp Cau

Https Encrypted Tbn0 Gstatic Com Images Q Tbn 3aand9gcqxzkpss Jqjfsx9atvbywuyr4jqktekf6n3noazawmsegurx Q Usqp Cau

Solved A How The Span Of Vectors 1 히 Looks Like I

Solved A How The Span Of Vectors 1 히 Looks Like I

site traffic analytics