Home ยป Zero Order Kinetics Equation

Zero Order Kinetics Equation Concentration Time Relationships Integrated Rate Laws

ads/responsive.txt

ads/responsive.txt
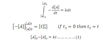
Concentration Time Relationships Integrated Rate Laws

Concentration Time Relationships Integrated Rate Laws

Half Lives Chemistry Libretexts

Half Lives Chemistry Libretexts

Phar 4634 Chapter 20 Page 3

Phar 4634 Chapter 20 Page 3

Ppt Principles And Kinetics Of Drug Stability Phr 416

Ppt Principles And Kinetics Of Drug Stability Phr 416

Zero Order Reaction Definition Derivation Graph Examples

Zero Order Reaction Definition Derivation Graph Examples

Pseudo First Order Reaction Order Of Reaction Examples With Videos

Pseudo First Order Reaction Order Of Reaction Examples With Videos

Thermokinetic Study Of The Zero First And Second Order Reactions

Thermokinetic Study Of The Zero First And Second Order Reactions

Physiology Zero And First Order Kinetics Article Statpearls

Physiology Zero And First Order Kinetics Article Statpearls

Zero Order Reaction An Overview Sciencedirect Topics

Zero Order Reaction An Overview Sciencedirect Topics

Chemical Kinetics And Half Life Chemical Kinetics Study

Chemical Kinetics And Half Life Chemical Kinetics Study

Https Www Longdom Org Open Access Application Of Mathematical Models In Drug Release Kinetics Of Carbidopaand Levodopa Er Tablets 2329 6631 1000171 Pdf

Https Www Longdom Org Open Access Application Of Mathematical Models In Drug Release Kinetics Of Carbidopaand Levodopa Er Tablets 2329 6631 1000171 Pdf

Zero Order Kinetics Example Problem Youtube

Zero Order Kinetics Example Problem Youtube

12 4 Integrated Rate Laws Chemistry

12 4 Integrated Rate Laws Chemistry

Kinetics And Drug Stability

Kinetics And Drug Stability

Summary Of The Kinetics Of Zero Order First Order Ppt Download

Summary Of The Kinetics Of Zero Order First Order Ppt Download

Rate Equation And Order Of Reaction

Rate Equation And Order Of Reaction

How To Find The Order Of A Reaction When Rate Constant Is Not

How To Find The Order Of A Reaction When Rate Constant Is Not

Order Reaction S J Shah

Order Reaction S J Shah

Http Pharmaquest Weebly Com Uploads 9 9 4 2 9942916 Order Of Reaction Pdf

Http Pharmaquest Weebly Com Uploads 9 9 4 2 9942916 Order Of Reaction Pdf

Graph Of Integrated Rate Equation Of Zero Order Reaction Chemical

Graph Of Integrated Rate Equation Of Zero Order Reaction Chemical

Elimination Kinetics First And Zero Order Kinetics Faculty Of

Elimination Kinetics First And Zero Order Kinetics Faculty Of

Welcome To Chemzipper Kinetics Of Zero Order Reactions

Welcome To Chemzipper Kinetics Of Zero Order Reactions

Zero Order Reaction Chemistry Problems Half Life Graph Slope

Zero Order Reaction Chemistry Problems Half Life Graph Slope

First Order Zero Order And Non Linear Elimination Kinetics

First Order Zero Order And Non Linear Elimination Kinetics

Determine The Half Life Of A Zero Order Reaction Youtube

Determine The Half Life Of A Zero Order Reaction Youtube

Zero Order Reactions Chemistry Libretexts

Zero Order Reactions Chemistry Libretexts

Half Lives

Half Lives

Chemical Kinetics Notes

Chemical Kinetics Notes

Integrated Rate Equations Rate Law Zero First Order Reactions

Integrated Rate Equations Rate Law Zero First Order Reactions

Integrated Rate Equations Rate Law Zero First Order Reactions

Integrated Rate Equations Rate Law Zero First Order Reactions

Zero Order And First Order Kinetiks

Zero Order And First Order Kinetiks

What Is Pseudo Zero Order Reaction Quora

What Is Pseudo Zero Order Reaction Quora

Differences Between Zero And First Order Kinetics Chemistry

Differences Between Zero And First Order Kinetics Chemistry

Https Encrypted Tbn0 Gstatic Com Images Q Tbn 3aand9gcqducv3cgzeyqj7whn8xk2xrnsjhqzokf1trr88wgp5gc5cxfmgjyvcty09 Bvktcu Usqp Cau

Https Encrypted Tbn0 Gstatic Com Images Q Tbn 3aand9gcqducv3cgzeyqj7whn8xk2xrnsjhqzokf1trr88wgp5gc5cxfmgjyvcty09 Bvktcu Usqp Cau

2 Nd Unit Chemical Kinetics Topic Integrated Rate E Ctlt

2 Nd Unit Chemical Kinetics Topic Integrated Rate E Ctlt

The Order Of Reaction Is An Experimentally Determined Quanity It

The Order Of Reaction Is An Experimentally Determined Quanity It

Chemical Kinetics Notes

Chemical Kinetics Notes

Elimination Kinetics

Elimination Kinetics

Https Pubs Acs Org Doi Pdf 10 1021 Ed061p348

Https Pubs Acs Org Doi Pdf 10 1021 Ed061p348

Doc Chemical Kinetics Differential Rate Laws Desy Wijayanti

Doc Chemical Kinetics Differential Rate Laws Desy Wijayanti

Does A Zero Order Reactant Chemical Kinetics Mean There Is No

Does A Zero Order Reactant Chemical Kinetics Mean There Is No

Kinetics Questions Practice Kinetics Khan Academy

Kinetics Questions Practice Kinetics Khan Academy

Https Www Longdom Org Open Access Application Of Mathematical Models In Drug Release Kinetics Of Carbidopaand Levodopa Er Tablets 2329 6631 1000171 Pdf

Https Www Longdom Org Open Access Application Of Mathematical Models In Drug Release Kinetics Of Carbidopaand Levodopa Er Tablets 2329 6631 1000171 Pdf

In Vitro Release Kinetics Equation Simulation Of The Nano Carriers

In Vitro Release Kinetics Equation Simulation Of The Nano Carriers

Solved Summary Of The Kinetics Of Zero Order First Order

Solved Summary Of The Kinetics Of Zero Order First Order

Michaelis Menten Kinetics Wikipedia

Michaelis Menten Kinetics Wikipedia

Http Pharmaquest Weebly Com Uploads 9 9 4 2 9942916 Order Of Reaction Pdf

Http Pharmaquest Weebly Com Uploads 9 9 4 2 9942916 Order Of Reaction Pdf

Problems For Zero Order Kinetics And First Order Kinetics

Problems For Zero Order Kinetics And First Order Kinetics

Rate Equation Wikipedia

Rate Equation Wikipedia

Introduction To Enzymes

Introduction To Enzymes

Derivation Of Zero Order Integrated Rate Equation Chemical

Derivation Of Zero Order Integrated Rate Equation Chemical

Zero Order Release Kinetics Of Furosemide First Order Release

Zero Order Release Kinetics Of Furosemide First Order Release

Chemical Kinetics The Branch Of Chemistry Which Deals With The

Chemical Kinetics The Branch Of Chemistry Which Deals With The

Chemical Kinetics The Rate Of A Chemical Reaction Chegg Com

Chemical Kinetics The Rate Of A Chemical Reaction Chegg Com

Rate Equation And Order Of Reaction

Rate Equation And Order Of Reaction

Https Encrypted Tbn0 Gstatic Com Images Q Tbn 3aand9gcsf6hfegwosadrqfzzc4wxidawfgx F7oekmgwhcbezmlgbdvsudz Og Tu2qy0 Usqp Cau

Https Encrypted Tbn0 Gstatic Com Images Q Tbn 3aand9gcsf6hfegwosadrqfzzc4wxidawfgx F7oekmgwhcbezmlgbdvsudz Og Tu2qy0 Usqp Cau

Zero Order Reactions Study Material For Iit Jee Askiitians

Zero Order Reactions Study Material For Iit Jee Askiitians

Half Life Expressions Chemistnate Lessons

Half Life Expressions Chemistnate Lessons

First Order Zero Order And Non Linear Elimination Kinetics

First Order Zero Order And Non Linear Elimination Kinetics

How Does Rate Constant Of Second Order Reaction Depend On Time

How Does Rate Constant Of Second Order Reaction Depend On Time

14 4 Zero Order Reactions Chemistry Libretexts

14 4 Zero Order Reactions Chemistry Libretexts

Solved To Understand Zero Order Reactions Chemical Kinet

Solved To Understand Zero Order Reactions Chemical Kinet

Https Mitocw Ups Edu Ec Courses Chemistry 5 07sc Biological Chemistry I Fall 2013 Module I Session 4 Mit5 07scf13 Lec7 8 Pdf

Https Mitocw Ups Edu Ec Courses Chemistry 5 07sc Biological Chemistry I Fall 2013 Module I Session 4 Mit5 07scf13 Lec7 8 Pdf

Pdf On The Kinetics Of Cellulose Degradation Looking Beyond The

Pdf On The Kinetics Of Cellulose Degradation Looking Beyond The

Chemical Kinetics Notes

Chemical Kinetics Notes

Protein Based Films Cross Linked With 1 Ethyl 3 3 Dimethylamino

Protein Based Films Cross Linked With 1 Ethyl 3 3 Dimethylamino

Https Encrypted Tbn0 Gstatic Com Images Q Tbn 3aand9gcrdqcki4bia9hmxregg4gux2otvxbaujzifv9gx5pqahe7xjicd W0d7an0mfibi1s Usqp Cau

Https Encrypted Tbn0 Gstatic Com Images Q Tbn 3aand9gcrdqcki4bia9hmxregg4gux2otvxbaujzifv9gx5pqahe7xjicd W0d7an0mfibi1s Usqp Cau

Zero Order Reactions Study Material For Iit Jee Askiitians

Zero Order Reactions Study Material For Iit Jee Askiitians

Half Life Expressions Chemistnate Lessons

Half Life Expressions Chemistnate Lessons

Kinetics Order Of Reactions Ppt Video Online Download

Kinetics Order Of Reactions Ppt Video Online Download

Kinetics Calculus

Kinetics Calculus

Integrated Rate Laws

Integrated Rate Laws

The Rate Law Concentration And Time Boundless Chemistry

The Rate Law Concentration And Time Boundless Chemistry

Pharmacokinetics And Pharmacodynamics A Synopsis

Pharmacokinetics And Pharmacodynamics A Synopsis

Derive An Expression For The Rate Constant Of Zero Order Reaction

Derive An Expression For The Rate Constant Of Zero Order Reaction

Derive The Integrated Half Life Equation For Zero Order Reaction

Derive The Integrated Half Life Equation For Zero Order Reaction

The Kinetic Parameters Of Zero Order And First Order Models For L

The Kinetic Parameters Of Zero Order And First Order Models For L

12 4 Integrated Rate Laws Chemistry

12 4 Integrated Rate Laws Chemistry

Introduction To Enzymes

Introduction To Enzymes

A Drug Carrier For Sustained Zero Order Release Of Peptide

A Drug Carrier For Sustained Zero Order Release Of Peptide

Zero Order Reactions Chemistry Libretexts

Zero Order Reactions Chemistry Libretexts

Kinetic Order An Overview Sciencedirect Topics

Kinetic Order An Overview Sciencedirect Topics

Order Of Reaction Concept First Order Zero Order And Pseudo

Order Of Reaction Concept First Order Zero Order And Pseudo

Half Lives Chemistry Libretexts

Half Lives Chemistry Libretexts

Chemical Kinetics

Chemical Kinetics

Drug Release Kinetics

Drug Release Kinetics

Mix Chemical Kinetics And Half Life Online Learning Courses

Mix Chemical Kinetics And Half Life Online Learning Courses

Rate Equation Wikipedia

Rate Equation Wikipedia

First Order Zero Order Elimination Pharm Lect 9 Youtube

First Order Zero Order Elimination Pharm Lect 9 Youtube

What Are The Units Of Rate Constant Of Zero Order And Second Order

What Are The Units Of Rate Constant Of Zero Order And Second Order

Https Encrypted Tbn0 Gstatic Com Images Q Tbn 3aand9gcttxddgc8gw0alw57qmvsv1qvjpxgbovwatwfr5qqewuneya5zxuzbotdn G5xln1u Usqp Cau

Https Encrypted Tbn0 Gstatic Com Images Q Tbn 3aand9gcttxddgc8gw0alw57qmvsv1qvjpxgbovwatwfr5qqewuneya5zxuzbotdn G5xln1u Usqp Cau

02 05 3 First And Zero Order Kinetics Pharmacology In One Semester

02 05 3 First And Zero Order Kinetics Pharmacology In One Semester

The Order Of Reaction Is An Experimentally Determined Quanity It

The Order Of Reaction Is An Experimentally Determined Quanity It

Kinetics Equation Of Different Equations

Kinetics Equation Of Different Equations

Kinetics And Drug Stability Ed

Kinetics And Drug Stability Ed

Pdf On The Kinetics Of Cellulose Degradation Looking Beyond The

Pdf On The Kinetics Of Cellulose Degradation Looking Beyond The

Parameter Estimates From The Zero Order Kinetics Model A Of The

Parameter Estimates From The Zero Order Kinetics Model A Of The

Difference Between First Order And Zero Order Kinetics

Difference Between First Order And Zero Order Kinetics

Metabolism And Clearance Part One

Metabolism And Clearance Part One

Kinetics Rate Of Reaction Order Of Equation Scienceaid

Kinetics Rate Of Reaction Order Of Equation Scienceaid

First Order Zero Order And Non Linear Elimination Kinetics

First Order Zero Order And Non Linear Elimination Kinetics

The Rate Law Concentration And Time Boundless Chemistry

The Rate Law Concentration And Time Boundless Chemistry

First Order Zero Order And Non Linear Elimination Kinetics

First Order Zero Order And Non Linear Elimination Kinetics

Figure Graph Depictions Of Zero And Statpearls Ncbi Bookshelf

Figure Graph Depictions Of Zero And Statpearls Ncbi Bookshelf

site traffic analytics