Equation Ln Corrige Exercices Corriges Sur La Fonction Logarithme En Terminale S
On considere la fonction f definie par f x ax b ln et c sa courbe representative.

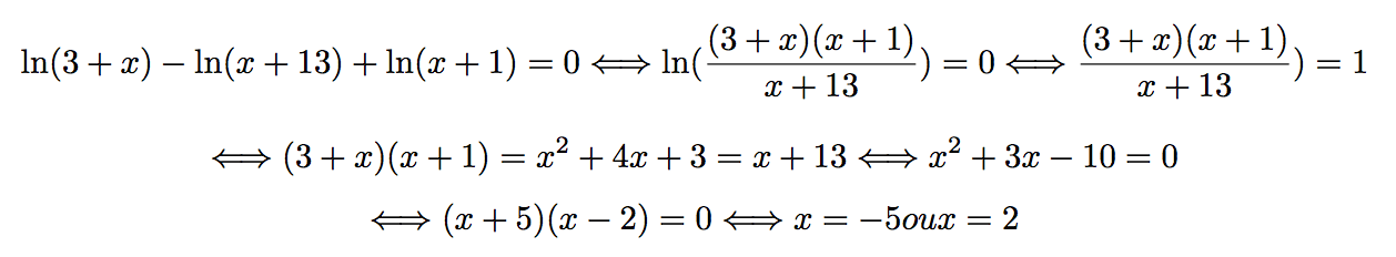
Equation ln corrige. Derivation et encadrement 9 1. Site de soutien scolaire en ligne pour les classes de 6eme 5eme 4eme 3eme seconde premiere s premiere es. Exercice pour apprendre a resoudre des equations avec des logarithmes et des exponentielles. Pour resoudre une equation du type ln ux ln vx respectivement une inequation du type ln ux ln vx.
Sommes partielles serie harmonique n. On resout dans cet ensemble lequation ux vx respectivement linequation ux vx. X2lnleftfrac12right x2 lnleft2right comme lnleft2right 0 lequation proposee na pas de solution. Equation cartesienne dune droite exercice de maths.
Derivees et ln 4 1. La solution 3 est a rejeter car elle nappartient pas a de. Fonction logarithme neperien. Definition proprietes exercices dapplication sur la resolution des equations et inequations.
Avec roc 8 1. Fonction ln epf 2006 1 1. Caledonie 2007 16 1. Nord 062008 6 pts 11 1.
Equation france 2004 2 1. On determine lensemble des reels x tels que ux 0 et vx 0 dans ce cas lequation est bien definie. 16 f x x ln 2 17 f x x ln 2 18 f x x ln 1 2 exercice n0 15. Pdf exercice equation cartesienne 1ere s corrige telecharger math premiere s exercice corrigecours maths premiere s nouveau programmeexercices corriges de.
Calcul de limites 6 1. Primitives et ln 5 1. Ln et expintegrale polynesie 092008 6 pts 14 1. Ex12 leftrightarrow x1ln2 dapres cette propriete lequation a pour unique solution xln2 1.
Resolution inequations 7 1. On doit avoir x2x 1text0. Cest un trinome de discriminant 49 admettant 2 racines 3 et 4. Lequation est definie sur mathbbr et equivalente a.















































































