Second Equation Of Motion Examples Pdf Linear Motion Explained With Worked Examples
As we have already discussed earlier motion is the state of change in position of an object over time.
Second equation of motion examples. This leads me to the following important points concerning the solution of problems using the equations of motion. After an interval of time t its velocity becomes v f. There are analogs of equations of motion in other areas of physics for collections of physical phenomena that can be considered waves fluids or fields. We are now going to look at two examples where the second equation of motion can be used.
Average velocity initial velocity final. Some algebra is needed. First consider a body moving in a straight line with uniform acceleration. First equation of motion v f v i at.
Calculate net force mass and acceleration of an object by referring the below newton second law of motion example. However the equations of quantum mechanics can also be considered equations of motion since they are differential equations of the wavefunction which describes how a quantum state behaves analogously using the space and time coordinates of the particles. For example the vector cross product is used to derive the euler equations of motion so when solving problems using these equations the same sign convention must be used. Determine the distance travelled by the bus during the acceleration phase.
Second equation of motion or s vit 12at 2. A bus starts from rest and accelerates at a rate of 25 ms 2 for a time of 50 s. It is understanding the correct motion speed acceleration or the equations of motion. List only the quantities given in the problem and state the new unknown.
Newtons second law can be applied to this springblock system. S ut 1 2 at 2. Pick a new equation. Newtons 2nd law of motion involves force mass and acceleration of an object.
Now first we will determine the average velocity of body. As a result the right hand rule applies. Equations of motion for uniform acceleration. Equations of motion equations of motion.
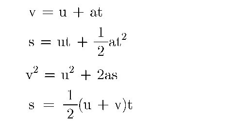
Once you master the equations of motion you will be able to predict and understand every motion in the world. Second equation of motion is the second kinematic equation which shows the relationship between the distance acceleration time and initial velocity of the body. The second equation of motion. This is followed by the usual numbers in answer out.
I suggest the displacement time equation aka. Hence as you can see above the second equation of motion is. Once the block is set into motion the only horizontal force that acts on it is the restoring force of the spring.


















































































